MIS CLASES - 6° primaria Miércoles. 7 de octubre
Problemas aditivos con números fraccionarios III
Aprendizaje esperado: Resolución de problemas aditivos con números naturales, decimales y fraccionarios, variando la estructura de los problemas. Estudio o reafirmación de los algoritmos convencionales.
Énfasis: Resolver problemas aditivos con números fraccionarios que tienen diferente denominador.
¿Qué vamos a aprender?
Aprenderás a resolver de problemas aditivos con números naturales, decimales y fraccionarios, variando la estructura de los problemas.
Para explorar más puedes revisar el libro de texto de Desafíos matemáticos de 6º, se explica el tema a partir de la página 16.
https://libros.conaliteg.gob.mx/20/P6DMA.htm#page/16
¿Qué hacemos?
A continuación, te presentamos información y algunas actividades que te ayudarán a resolver problemas aditivos con números fraccionarios que tienen diferente denominador.
Hemos trabajado con fracciones durante dos clases continuas, pero hoy cerraremos el aprendizaje esperado, recuerda que en la clase anterior resolvimos el primer problema de la consigna 2, en la página 16, del desafío 6 del libro de texto.
Es importante ir repasando lo que hemos ido aprendiendo en las clases anteriores, los aprendizajes que construimos en cada clase constituyen las bases y las herramientas necesarias para resolver otros problemas y aprender cosas nuevas.
En la clase anterior vimos:
- Partes de la fracción.
- Tipos de fracción: Propias, impropias y mixtas.
- Fracciones equivalentes.
Es momento de continuar el trabajo con nuestro libro de texto, ve a la página 16.
Trabajaremos juntos, apoyándonos, al final compararemos los resultados.
Iniciamos: ¿Qué tanto es menor o mayor que 1 la suma de
y
?
Analicemos por partes la pregunta: Nos dice qué tanto es mayor o menor que 1 ¿Sabes a qué se refiere esto?
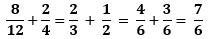
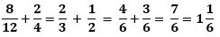
Se trata de responder qué fracción representa lo que es mayor o menor de la suma con respecto a 1, por lo tanto, primero tenemos que saber cuánto suma cuatro quintos con cuatro octavos.
Procedamos a realizar la suma:

Aunque el numerador en ambas fracciones es el número cuatro, no tienen el mismo denominador.

Aunque el numerador es el mismo número, no tenemos la misma parte del entero.
¿Por qué?
Porque el denominador es diferente, en la primera figura el entero o unidad está dividido en quintos, cinco partes.
La segunda figura esta dividida en octavos, ocho partes ¿Qué es lo que debemos hacer cuando necesitamos realizar una suma y las fracciones tienen diferente denominador?
¿Lo recuerdas? debemos encontrar las fracciones equivalentes y debemos fijarnos de que ambas posean el mismo denominador.
¿Cómo encontramos las fracciones equivalentes con el mismo denominador?
Multiplicando entre sí los dos denominadores de las fracciones que son el 5 y el 8.

No debemos olvidar que la operación que hacemos con el denominador debe ser la misma operación con el numerador, en este caso, el mismo número multiplica al denominador y al numerador.

De esta manera, obtuvimos ya nuestras fracciones con mismo denominador para poder realizar la suma.
Ahora acomodemos correctamente nuestras fracciones, la fracción equivalente de 4/5, ¿Cuál es? y la fracción equivalente de 4/8, ¿Cuál es? entonces nuestra suma queda así:

Recuerda que el denominador en la suma pasa igual, porque es el mismo.

Y los numeradores son los que se suman, te esperamos a que lo hagas en casa.
Ahora comparemos nuestros resultados:

El resultado es una fracción impropia, ¿Podemos escribirla como una fracción mixta?
Sí ¿Un entero dividido en cuarentavos cuántas partes tiene? 40, en 52 podemos quitar 40? claro, por lo tanto, con estas cuarenta formamos un entero y nos sobran 12 cuarentavos, así que nuestro resultado final queda así:

Muy bien, ahora podemos contestar la pregunta de nuestro libro de texto:
¿Qué tanto es menor o mayor que 1 la suma de
?
Observa bien la pregunta: ¿Qué tanto es mayor o menor? ¿Qué nos pide como respuesta? Una cantidad exacta, en nuestra suma nos dio como resultado:

Significa que tenemos más de un entero, pero, ¿Cuánto más? muy bien 12/40, que, al ir simplificando, es lo mismo que 6/20 o 3/10. Compara tu resultado con los que obtuvimos aquí.
Continuamos aprendiendo; ahora vamos por el problema que dice así:

¿Qué es lo que nos pide este problema? Observemos que nos presenta una suma de fracciones con un resultado, por lo que podríamos pensar que ya está resuelta. Entonces, ¿Cuál es la respuesta que buscamos? Claro, nos pide que comprobemos si el resultado de la suma es correcto.
Manos a la obra, comprobemos la suma, recuerda lo que hicimos en el proceso anterior o quizá tu ya encontraste un camino diferente; adelante, inténtalo.
Yo también realizaré mi suma.
El primer paso consiste en que, como no tienen el mismo denominador, es necesario determinar las fracciones equivalentes, sin embargo, observen que podemos simplificar las dos fracciones sacando mitad del numerador y del denominador:

Fracciones equivalentes:

Muy bien, ya tenemos las fracciones equivalentes ¿Qué sigue?

Todavía falta algo, observa, es una fracción impropia, porque el numerador es mayor que el denominador así que tenemos un entero completo y una fracción.

El 6 cabe 1 vez en el 7, entonces tenemos 1 entero o unidad y me sobra 1 sexta parte, por lo que la fracción queda así:

¡Por fin terminamos! ¿Cuál es la respuesta?
Es cierta la expresión:

Ahora sí, vamos por un último problema en esta clase, volvamos a la página 16 y veamos qué respuesta nos solicita.

¿Sabes a qué se refiere la palabra “excede”? Sí, hace referencia a por cuánto es mayor siete novenos que dos quintos, para responder la pregunta, tenemos que calcular la diferencia de las dos fracciones.
¿Qué operación podemos aplicar con estos datos? Claro, una resta. ¿Por qué una resta? Porque el resultado de la resta nos dará la diferencia entre 7/9 y 2/5. Dicha diferencia de tamaño representa la parte que se excede, la parte que se pasa o es más grande uno que el otro número fraccionario.
Si tu sabes otra manera de resolverlo, inténtenlo; al final podremos comparar los resultados; recuerda que hay diferentes formas de llegar a un mismo resultado matemático.
Vamos a resolverlo, empecemos: ¿Qué vamos a restar?

Y luego, ¿Qué hacemos?
El segundo paso es igual que en la suma: Encontrar fracciones equivalentes, sólo que aquí no sumamos, sino que restamos, así que ahora debemos calcular denominadores iguales, por que son diferentes a los que tenemos, empecemos:

Veamos nuevamente lo que pregunta el libro:
¿En cuánto excede 
Entonces, ¿Cuánto se excede o se pasa 7/9 de 2/5? El resultado es 17/45.
Muchas gracias por el esfuerzo realizado para estar en nuestras clases de matemáticas, por esa gran disposición que tiene cada uno para seguir aprendiendo.
El Reto de Hoy:
Repasar el tema de fracciones, ya que durante todo el trayecto de sexto grado trabajaremos con ellas de una u otra forma.
Si en tu casa hay libros relacionados con el tema, consúltalos, así podrás saber más, si no cuentas con estos materiales no te preocupes, en cualquier caso, platica con tu familia sobre lo que aprendiste, seguro les parecerá interesante.
¡Buen trabajo!
Gracias por tu esfuerzo.
¿Qué pasa cuando se vulneran nuestros derechos?
Aprendizaje esperado: Exige respeto a sus derechos humanos, es sensible, se solidariza y realiza acciones a favor de personas o grupos que viven situaciones de vulnerabilidad.
Énfasis: Argumenta situaciones en las que se vulneran los derechos de personas o grupos.
¿Qué vamos a aprender?
Aprenderás a exigir respeto a tus derechos humanos, ha sensibilizarte, ser solidario y realizar acciones a favor de personas o grupos que viven situaciones de vulnerabilidad.
¿Qué hacemos?
A continuación te presentamos información y algunos ejercicios que te ayudarán a argumentar situaciones en las que se vulneran los derechos de personas o grupos.
En la clase pasada hablamos acerca de cómo resolver los dilemas, disyuntivas en situaciones en las que tenemos que tomar una decisión y no sabemos qué opción elegir, cuando tenemos que decidir siempre hay que considerar el respeto a la integridad y dignidad propia y de las personas que están involucradas en la situación.
El día de hoy vamos a identificar situaciones en las que se vulneran los derechos de personas o grupos para ser sensibles a ellos y solidarizarnos.
Vamos a tratar los problemas que enfrentamos en el ejercicio de los derechos de las niñas, niños y adolescentes.
¿Has observado alguna situación en la que no se protegen o se atenta contra los derechos de las niñas, niños y adolescentes?
Empecemos por recordar algunos de los derechos de las niñas, niños y adolescentes:
- Derecho a una familia, a la educación, la salud, a ser protegido contra cualquier forma de maltrato.
- Derecho a participar, expresar nuestras ideas en libertad, derecho a no ser discriminado, a ser protegido contra cualquier forma de abandono, maltrato o explotación ya sea laboral o sexual.
¿Qué otros derechos recuerdas?
Te invitamos a que observes un video de los derechos de las niñas, niños y adolescentes.
- Derechos de los niños, niñas y adolescentes.
Para conocer más acerca de nuestros derechos te invitamos a ver en el siguiente video las opiniones de las niñas y los niños.
- ¿Qué es 25 al 25?
¿Qué aspectos de los mencionados en los videos no conocías?
Posiblemente no conocías que los gobiernos de distintos países se comprometieron a proteger los derechos de las niñas, niños y adolescentes y firmaron un documento, ese documento se llama Convención de los Derechos de los niños, se firmó en 1989, México la suscribió en 1990, desde entonces el gobierno mexicano está obligado a cumplir lo establecido en ese documento.
¿Qué dicen las leyes mexicanas respecto de los derechos de las niñas, niños y adolescentes?
Nuestra principal ley que garantiza los derechos de las niñas, niños y adolescentes es la Constitución Política de los Estados Unidos Mexicanos, de la que se desprende la Ley General de los Derechos de Niñas, Niños y Adolescentes, que como en el vídeo se dijo protege los derechos de todos los menores de dieciocho años.
¿Qué ocurre cuando no se respetan los derechos establecidos en las leyes?
Veamos el siguiente video.
- Campaña "El Poder de la Gente", versión "Violencia infantil"
Desafortunadamente como se dice en el video hay niñas, niños y adolescentes que enfrentan situaciones en las que se vulneran sus derechos, para identificar situaciones en las que se vulneran los derechos de las niñas, niños y adolescentes, te invitamos a que juntos hagamos un tablero de serpientes y escaleras. ¿Conoces cómo es este juego?
Es una tabla de cartón, aunque también puede ser una hoja con dibujos de distintas situaciones, aquellas que nos benefician tienen una escalera y aquellas que nos afectan tienen una serpiente que nos hace retroceder, al jugar lo que hacemos es dar turnos, lanzar el dado y avanzar los lugares indicados.
Te propongo que hagas un tablero con treinta casillas.
En cada casilla pones un dibujo de una situación en la que se ejerce un derecho humano.
En cuatro casillas vas a poner situaciones que atentan contra el ejercicio de nuestros derechos humanos.
Ejemplo de situaciones que puedes ocupar:
- Cuando un niño le pega u otro niño, atenta contra su derecho a una vida libre de violencia.
- Otra situación puede ser cuando una niña abandona la escuela porque sus padres consideran que las mujeres no necesitan ir a la escuela, es una situación de discriminación que atenta contra su derecho a la educación.
- Cuando un joven le ofrece a un niño o una niña un cigarro atenta contra su derecho a la salud y a ser protegido contra protegido contra el uso de sustancias adictivas.
- Cuando a un niño o niña no se le toma en cuenta su opinión acerca de un asunto que directamente le atañe.
En nuestro juego ese tipo de situaciones las vamos a distribuir en el tablero, en cada una de ellas vamos a dibujar una serpiente, cuando el jugador caiga en esa casilla retrocederá, hasta la cabeza de la serpiente.
También vamos a pensar en cuatro situaciones en las que ayudamos a otras personas a ejercer sus derechos, en esas situaciones vamos a colocar una escalera, que le permita al jugador avanzar más rápido.
- Ayudamos a otras personas a ejercer su derecho, por ejemplo, cuando reciclamos nuestros desechos, nos ayudamos todos a ejercer nuestro derecho a un medio ambiente sano.
- Cuando resolvemos nuestras diferencias con otras personas de forma pacífica, nos ayudamos todos a tener una vida sin violencia.
- En esta situación de pandemia, cuando nos lavamos las manos, usamos el cubre bocas y guardamos la sana distancia, nos cuidamos todos y nos ayudamos a ejercer nuestro derecho a la salud.
¡Las serpientes son acciones negativas que afectan nuestros derechos y las escaleras son acciones positivas que nos benefician a todos!
Todos podemos hacer algo para que niñas, niños y adolescentes ejerzan sus derechos, sobre todo quienes tienen algún problema, veamos el siguiente video.
- Discapacidad - Deni y los Derechos de las Niñas y los Niños.
Cómo pudimos observar en el video hay niñas, niños y adolescentes que requieren mayor apoyo para ejercer sus derechos y todos podemos colaborar.
¿Quiénes son los responsables de garantizar los derechos de las niñas, niños y adolescentes?
La primera responsabilidad es de las familias, pero también las autoridades municipales, del estado o del país están obligados a velar porque ningún niño, niña o adolescente sea violentada en sus derechos, y la sociedad en general tiene que trabajar en favor de los derechos de las niñas, niños y adolescentes.
La sociedad en su conjunto debe velar por los derechos de las niñas, niños y adolescentes, y para eso se establecen alianzas, observa el siguiente video.
- Alianza global para poner fin a la violencia contra niñas, niños y adolescentes.
Como pudimos observar en el vídeo para proteger a las niñas, niños y adolescentes suman sus esfuerzos instituciones nacionales e internaciones, gobiernos, sociedad civil, empresas, escuelas, asociaciones de distinto tipo, medios de comunicación.
Anota en tu cuaderno tus reflexiones sobre lo que aprendiste con esta clase.
El Reto de Hoy:
Si en tu casa hay libros relacionados con el tema, consúltalos, así podrás saber más, si no cuentas con estos materiales no te preocupes, en cualquier caso, platica con tu familia sobre lo que aprendiste, seguro les parecerá interesante.
¡Buen trabajo!
Gracias por tu esfuerzo.
Identificación de algunas propiedades del lenguaje para la redacción de biografías
Aprendizaje esperado: Emplea recursos literarios en la escritura de biografías y autobiografías. Usa oraciones compuestas al escribir.
Énfasis: Identificar las propiedades del lenguaje en diversas situaciones comunicativas:
- Tiempos verbales.
- Conectores.
- Orden cronológico.
- Adverbios.
- Voz narrativa (posición del narrador) en la biografía.
¿Qué vamos a aprender?
Aprenderás a emplear recursos literarios en la escritura de biografías y autobiografías.
Para explorar más puedes revisar el libro de texto de Español de 6º, se explica el tema a partir de la página 24.
https://libros.conaliteg.gob.mx/20/P6ESA.htm#page/24
¿Qué hacemos?
A continuación te presentamos informaciónn importante y actividades que te ayudarán a identificar las propiedades del lenguaje en diversas situaciones comunicativas.
A través de la lectura y redacción de biografías y autobiografías identificarás las características de la voz narrativa en cada uno de los textos citados, reconociendo y fortaleciendo sus saberes en torno a la redacción de escritos, y usando nexos para dar coherencia a los textos, oraciones compuestas, frases adjetivas, adjetivos calificativos y adverbios para describir personas y situaciones.
Hasta este momento te has apropiado de aprendizajes clave para la redacción de una biografía: Reconocer similitudes y diferencias entre este tipo de textos, identificar la voz narrativa con que se escribe cada uno, formular una entrevista para recabar información, conocer las diferentes formas de relacionar oraciones, practicar la redacción de descripciones y, finalmente, realizar la versión final de la biografía de un amigo o familiar.
A lo largo de estas sesiones has conocido aspectos importantes sobre la vida y obra del escritor Juan José Arreola, del pintor Francisco Goitia, de la escritora Amparo Dávila, de la niña Xóchitl Guadalupe Cruz López, del niño Diego Ramírez Calvo, del científico Albert Einstein y de la activista Malala Yousafzai:

Para poder conocer ciertos aspectos de su vida y obra fue necesario que alguien investigara sobre ello, y que la entrevista es una herramienta útil para dicho propósito.
En esta sesión explicaremos la forma en que podrás realizar la redacción de la biografía de un amigo o familiar.
Busca biografías de personajes que admires o que sean de tu interés; revisa si hay algún texto de este tipo en tu casa, de ser posible busca en internet y recuerda que al regresar a tu escuela podrás encontrar algunos en la biblioteca escolar.
A lo largo de estas semanas de aprendizaje, hemos compartido los textos de algunos escritores mexicanos, de los cuales sería muy importante seguir investigado y conociendo su vida y obra.
Ahora, abre tu libro de texto de Español en la página 27.

Da respuesta a las preguntas de tu libro haciendo las siguientes precisiones y dando algunos ejemplos.
1.- Pretérito para hechos pasados y presente para referirnos a la actualidad. a) Juan José Arreola escribió Confabulario en 1952. b) Diego Vázquez cursa actualmente su educación media superior.
2.- Por medio del empleo de nexos, locuciones conjuntivas, conjunciones y algunos adverbios.
Revisa los ejemplos de la página 25 de tu libro de texto.
3.- Para llevar un orden cronológico y comenzar a redactar los hechos a partir del más antiguo al más reciente. En el texto “Memoria y olvido” puedes apreciar el orden cronológico de la narración de los hechos, comenzando de lo más antiguo a lo más reciente.
4.- A través del uso de los adjetivos y adverbios, lo cual te ayudarán al momento de describir las características de una persona, lugar o época.
En la sesión anterior realizamos algunas descripciones haciendo uso de adjetivos y frases adjetivas, en la página 26 hay un ejemplo muy ilustrativo que podría servirte de apoyo. |
Continuaremos revisando la página para detallar la forma en que harás la redacción de la biografía.

A continuación, te compartimos una entrevista ficticia a una amiga o amigo y, a partir de su lectura, se presentará la redacción de algunos párrafos.
Entrevista a Maribel Jiménez Rivera
|
Ahora sí podemos comenzar a redactar la biografía a partir de la respuesta de cada pregunta de la entrevista; por ejemplo:
Maribel Jiménez Rivera nació el 13 de septiembre de 1984 en la Ciudad de México.
Sus padres son Marisela Rivera y Nicolás Jiménez, quienes nacieron en el Estado de Oaxaca.
Su madre fue profesora y su padre obrero.
Ella es la menor de tres hermanas y su infancia transcurrió feliz, entre juegos e historias fantásticas que le contaba una de sus tías, lo que provocó que surgiera su gusto por la lectura desde temprana edad.
Te recomendamos que hagas un borrador y se lo des a leer a algún familiar y solicitas su opinión sobre la claridad de las ideas y sobre la ortografía, para que después se redacte una nueva versión a partir de las sugerencias de quien lo leyó.
A continuación, nos permitimos compartirte parte de una entrevista que se realizó a: Juana, niña hñä–hñu.
A partir de esta lectura también podrías obtener ideas sobre cómo diseñar una entrevista o, inclusive, escribir su biografía.
Juana vive en Orizabita, en el Valle del Mezquital, en el estado de Hidalgo, tiene nueve años y va en primero de primaria, la conocí en el albergue donde ella vive de lunes a viernes con otros niños que estudian la primaria, y cuyas casas quedan muy lejos de la escuela, ahí desayunan, comen, hacen la tarea, duermen, y sólo los fines de semana ven a sus papás. –¿Te gusta vivir en el albergue? –le pregunté. –Sí, porque aquí puedo ir a la escuela, aprender la lección y jugar con mis amigos. – ¿Qué has aprendido? –A leer y a escribir en dos lenguas –español y hñä–hñu–, y también a sumar. – ¿Y cuándo vas a casa de tus papás qué haces? –Le ayudo a mi mamá a pastorear los chivitos y a limpiar la cocina. – ¿Cómo le haces con los chivitos? –Les aviento piedras para que se regresen. Juana es bilingüe y tiene unos ojos muy bonitos como almendras y me sonríe. –Oye, ¿Cómo se dice “qué bonitos ojos tienes” en hñä–hñu? Juana se tapa la boca y se ríe. – ¿De qué te ríes? le pregunto, y ella se vuelve a tapar la boca y sus ojos brillan. Decidí cambiar la conversación y le pregunté: – ¿Quién es tu mejor amiga? –Zenaida, con ella juego a que es mi hija o a peinarnos. Juana trae un vestido azul que hace resaltar su piel tostada, estamos sentadas en el patio del albergue y nos quedamos en silencio un largo rato mirando los magueyes, los nopales, las montañas, se me ocurre preguntarle: – ¿Qué te gusta más, el campo o la ciudad? –El campo, porque aquí puedo jugar a brincar, a correr, al beisbol y al coyote. –Corres a la base para que no te alcance. –Ah, yo lo jugaba cuando era chiquita, pero le decíamos al lobo. Juana se pone la mano en la boca y se ríe, sus ojos vuelven a brillar y le pregunto: – ¿Cómo le hiciste para aprender a hablar hñä–hñu? –Así nací, luego aprendí español en la escuela. El calor se pone fuerte y Juana va a donde está una llave de agua y se moja la cara y elpelo con otra de sus amigas que se llama Isabel. –¿No te gusta el agua fría? –me pregunta desde donde está. –A mí sí. Y por primera vez vi su sonrisa completa, su boca brillaba tanto como sus ojos, no me dio tiempo de responderle porque salió el maestro y llamó a todos los niños a comer. Me invitó y después nos despedimos con un abrazo, como si fuéramos amigas desde hace muchos años. Antes de irme, averigüé cómo se dice: “qué bonitos ojos tienes” en hñä–hñu, bueno, más bien cómo suena en español: shi ma joto ri da.
|
Cuando regreses a tu plantel, quizá tengas oportunidad de revisar este texto, que se encuentra en: Beatriz Aguilar, “Entrevista a Juana, niña hña–hñu” en Revista Chachalaca, México desconocido, No. 1, abril 1994. Texto de la Antología leamos mejor día a día. Sexto grado. Pág. 45-46. Año de edición 2011.
El Reto de Hoy:
Poner manos a la obra y comenzar a redactar la biografía de una amiga, amigo o familiar.
Si en tu casa hay libros relacionados con el tema, consúltalos, así podrás saber más, no te preocupes si no cuentas con estos materiales, en cualquier caso, platica con tu familia sobre lo que aprendiste, seguro les parecerá interesante.
¡Buen trabajo!
Gracias por tu esfuerzo.
Cómo se comunica mi cuerpo
Aprendizaje esperado: Reconoce que la combinación de cuerpo, espacio y tiempo puede utilizarse para trabajar los conceptos de realidad y ficción en el teatro.
Énfasis: Improvisa movimientos corporales (rápidos, lentos, suaves, fuertes, continuos, con pausas) para imaginar acciones ficticias. Por ejemplo: levantar el puño y correr, significaría estar volando; dar pasos muy grandes y fuertes, podría significar ser un gigante que va caminando de pueblo en pueblo).
¿Qué vamos a aprender?
Aprenderás a reconocer la combinación de cuerpo, espacio y tiempo y podrás utilizarlo para trabajar los conceptos de realidad y ficción en el teatro.
¿Qué hacemos?
A continuación te presentamos información y algunas actividades que te ayudarán a
improvisar movimientos corporales para imaginar acciones ficticias.
Hoy vamos a reconocer a la expresión corporal como una herramienta básica para poder hacer representaciones sobre acciones y situaciones de la ficción.
Te has preguntado ¿Cómo nos expresamos los seres humanos? el modo más usual de expresión es la comunicación, esta puede ser verbal o no verbal, se acompaña de gestos y posturas corporales como parte del propio lenguaje, utilizando estos medios podemos contar o decir a otros quiénes somos, cómo nos sentimos o cómo nos sentimos.
Estos recursos también los podemos utilizar para interpretar algún personaje apoyándonos de nuestras emociones, recuerdos, sentimientos o de experiencias personales.
Observa el siguiente video.
- “Cómo nos comunicamos”, Aprende 2.0
http://www.aprende.edu.mx/recursos-educativos-digitales/recursos/como-comunicamos-619.html
El movimiento es la capacidad que tienen todos los cuerpos (o sus partes) para desplazarse a través del espacio y el tiempo.
Todos los movimientos tienen cualidades, y estas están relacionadas con el ESPACIO, es decir, la cantidad de espacio que recorre un cuerpo (hay movimientos directos e indirectos); el TIEMPO, que es la cantidad de tiempo que se utiliza para recorrer el espacio (hay movimientos rápidos o lentos); la ENERGÍA es la cantidad de esfuerzo que se usa (movimientos fuertes o suaves); y FLUJO, es la cantidad de tiempo en que recorre el espacio en una misma dirección, manteniendo la misma cantidad de esfuerzo (los movimientos son continuos o cortados).
Observa los siguientes videos en los minuto señalados:
- Calidades de movimiento 1 (Tiempo/espacio).
Del minuto 1:15 al 4:30
- Calidades de movimiento 2 (Energía/flujo).
Del minuto 0:48 al 4:31
La Expresión Facial (el gesto).
Los gestos faciales o también llamada expresión facial es un indicador emocional, y en lo primero que centramos nuestra atención al interactuar con otros o interpretar un personaje, contribuye favorablemente a la comunicación, por lo que en la cara se reflejan de manera instantánea las emociones como: la alegría, la sorpresa, la tristeza, el miedo, el enojo y la calma acompañada de contacto visual, muecas o de movimientos de cabeza.
Observa el siguiente video del minuto 1:22 al 2:02 y del 3:32 al 4:47:
- Lo Que Expresa Mi Cuerpo, Aprende 2.0
http://www.aprende.edu.mx/recursos-educativos-digitales/recursos/que-expresa-mi-cuerpo-730.html
La Postura Corporal.
¿Te has dado cuenta que cuando estás cansado tu cuerpo lo refleja?
Esto es porque tu postura forma parte de la expresión y la interpretación de situaciones.
Lo mismo pasa a la hora de actuar, los actores a través de sus cambios posturales se conectan con emociones, usando un lenguaje no verbal a través de movimientos corporales, para comunicar sentimientos
Observa los siguientes videos en los minuto señalados:
- El Gesto y el Subgesto en la Clase de Teatro, Aprende 2.0
http://www.aprende.edu.mx/recursos-educativos-digitales/recursos/gesto-subgesto-clase-teatro-1102.html
Del minuto 5:30 al 6:06 y del 6:10 al 6:23
- Posturas Corporales y Movimientos, Aprende 2.0
Del minuto 1:12 al 1:35 y del 1:57 al 2:15
Hoy vimos las calidades del movimiento, los gestos tanto faciales como corporales y jugamos a representar situaciones con nuestras herramientas básicas que son el cuerpo y la voz.
El Reto de Hoy:
Visitar la página de “Aprende 2.0” y en la sección de recursos educativos encontrarás un interactivo para jugar, este se llama “Jugando a la Expresión”, y podrás descargarla en cualquier dispositivo móvil.
- Jugando a la Expresión , Aprende 2.0
http://www.aprende.edu.mx/recursos-educativos-digitales/recursos/jugando-expresion-128.html
Si en tu casa hay otros libros relacionados con el tema, consúltalos, así podrás saber más, si no cuentas con estos materiales no te preocupes, en cualquier caso, platica con tu familia sobre lo que aprendiste, seguro les parecerá interesante.
¡Buen trabajo!
Gracias por tu esfuerzo






Comentarios
Publicar un comentario